O desenvolvimento da tecnologia de bateria tem avançado novos eletrônicos, carros elétricos e energia renovável.Saber como os diferentes métodos de carregamento de bateria funcionam é importante para obter o melhor desempenho e vida mais longa das baterias.Este artigo analisa vários métodos de carregamento, como tensão constante (CV) e corrente constante (CC), suas combinações e novos métodos, como carregamento constante de potência (CP).Ele também abrange técnicas avançadas, como carregamento de pulso e o inovador método de carregamento IUI, projetado para tipos específicos de baterias.Cada método tem suas próprias vantagens e é melhor para certos usos, mostrando as necessidades detalhadas da moderna tecnologia de bateria.Este artigo não apenas explica como esses métodos funcionam, mas também mostra como eles são usados no mundo atual, e prepara o terreno para uma visão detalhada de cada método de carregamento, como eles funcionam e os avanços tecnológicos que continuam mudando o campo do campo docarregamento da bateria.

Figura 1: O carregamento da bateria funciona
O carregamento de tensão constante (CV) é um método em que a tensão aplicada a uma bateria permanece fixa durante todo o processo de carregamento.Isso difere do carregamento de corrente constante (CC), onde a corrente é mantida constante enquanto a tensão varia.No carregamento do CV, a bateria é carregada até atingir um nível de tensão predeterminado.Nesse ponto, a tensão é mantida e a corrente diminui à medida que a bateria se aproxima da carga total.Este método garante que a tensão permaneça dentro de um intervalo seguro, impedindo a sobrecarga e os possíveis danos à bateria.
Esse método de carregamento exigido no estágio final de carregar baterias de íons de lítio.Ele fornece controle preciso de tensão, garantindo que cada célula na bateria atinja o nível de carga ideal sem exceder o limite máximo de tensão que pode prejudicar a química e a vida útil da bateria.

Figura 2: Gráfico do carregamento de tensão constante (CV)
Aqui está um detalhamento detalhado da fase de carregamento do CV:
Durante a fase de corrente constante (CC), a bateria é carregada até atingir um limite de tensão específico, próximo à sua capacidade máxima (cerca de 4,2 volts por célula para a maioria das baterias de íons de lítio).
Uma vez atingido esse limite, o circuito de carregamento transita do modo CC para CV.O carregador aplica uma tensão constante à bateria.
No início da fase CV, a corrente de carregamento é alta.À medida que a tensão da célula se aproxima da tensão do carregador, a corrente diminui gradualmente.Isso acontece porque a diferença de potencial entre o carregador e a bateria reduz, limitando naturalmente o fluxo atual de acordo com a lei de Ohm.
À medida que a bateria continua carregando, menos corrente é necessária para manter a tensão.Essa corrente decrescente indica que a bateria está chegando à sua capacidade total de carga.
O processo de carregamento termina quando a corrente cai para uma pequena fração da taxa de carga inicial, geralmente cerca de 10% da corrente de partida.Essa queda nos sinais atuais de que a bateria está totalmente carregada.
O carregamento de corrente constante (CC) é um método de carregamento da bateria em que uma corrente fixa é fornecida à bateria até atingir um nível de tensão específico.Diferentemente do carregamento de tensão constante (CV), onde a tensão permanece estável e a corrente diminui à medida que a bateria carrega, o carregamento do CC mantém uma corrente constante durante todo o processo de carregamento.Essa corrente é especificada pelo fabricante da bateria ou determinada com base nas características da bateria.À medida que a corrente constante flui para a bateria, sua tensão aumenta.Quando a bateria atingir seu limite de tensão designado, o método de carregamento pode mudar para o carregamento de tensão constante para concluir o ciclo, garantindo que a bateria esteja totalmente carregada sem sobrecarga.
O princípio básico do carregamento do CC envolve manter a corrente fluindo para a bateria constante durante a fase de carregamento.Isso é alcançado usando circuitos ou dispositivos de regulamentação atuais que monitoram e ajustam a saída atual para corresponder ao nível desejado.Este método garante transferência de energia eficiente e minimiza o estresse nas células da bateria.O carregamento de corrente constante é amplamente utilizado em várias aplicações, incluindo eletrônicos de consumo, veículos elétricos e equipamentos industriais, devido à sua simplicidade e eficácia ao carregar baterias com segurança e confiabilidade.

Figura 3: Gráfico do carregamento de corrente constante
Os avanços nesse campo são impulsionados pela necessidade de soluções de carregamento mais eficientes, mais rápidas e seguras, com foco em materiais inovadores, sistemas de gerenciamento de baterias e algoritmos inteligentes.Abaixo está uma visão geral envolvente dessas tecnologias emergentes:
|
Categoria |
Tecnologia |
Descrição |
Benefícios |
|
Materiais de eletrodo |
Ânodos de silício |
O silício pode armazenar dez vezes mais lítio
íons do que grafite, levando a mais densidades de energia e carregamento mais rápido. |
Maior densidade de energia, carregamento mais rápido |
|
Ânodos de metal de lítio |
O metal de lítio oferece maior capacidade, mas
apresenta riscos de curtos circuitos de dendritos.As soluções incluem avançado
eletrólitos e projetos de estado sólido. |
Maior capacidade, segurança aprimorada |
|
|
Sistemas de gerenciamento de bateria (BMS) |
Carregamento CC adaptável |
Monitora a carga de cada célula, temperatura,
e saúde, ajustando a corrente em tempo real usando o aprendizado de máquina e
Algoritmos avançados. |
Eficiência otimizada, bateria prolongada
vida |
|
Carregamento CC sem fio |
Acoplamento indutivo ressonante e
Ressonância magnética |
Técnicas que permitem energia eficiente
Transferência por distâncias curtas sem conectores físicos, agora sendo escalonados
Para aplicações maiores, como EVs. |
Reabastecimento de energia rápida e sem costura para
EVS |
|
Nanotecnologia |
Nanotubos de carbono e grafeno |
Materiais nanoestruturados com excepcional
condutividade elétrica e área de superfície, incorporada à bateria
eletrodos para reduzir os tempos de carregamento e melhorar a durabilidade. |
Carregamento mais rápido, bateria melhorada
durabilidade |
|
Sistemas híbridos de supercapacitor-bateria |
Combinando supercapacitores para rápido
Carregar durante a fase CC com baterias para armazenamento de alta energia. |
Alta potência e densidade de energia, rápido
Capacidades de carregamento |
|
|
Software e controle |
Ai e modelagem preditiva |
Usa vasta análise de dados para determinar
Parâmetros de carregamento ideais, aprendendo com os ciclos anteriores para refinar o carregamento
Perfis e evitem sobrecarregar e superaquecer. |
Mais rápido, mais seguro e mais eficiente
carregamento |
|
Integração da IoT |
Carregadores e baterias habilitados para IoT |
Ativa a comunicação entre carregadores,
baterias e sistemas centralizados para otimizar os horários de carregamento e monitor
Saúde da bateria em tempo real. |
Economia de custos, balanceamento de carga da grade,
Monitoramento em tempo real para longevidade e confiabilidade da bateria |
|
Regulatório e padronização |
Esforços regulatórios e de padronização |
Estabelece diretrizes para seguro e
implementação eficiente de novas tecnologias de cobrança de CC, garantindo
Compatibilidade e segurança em diferentes aplicações e fabricantes. |
Facilita a integração do mercado, garante
Segurança e compatibilidade |
O carregamento do CVCC híbrido (tensão constante, corrente constante) é uma maneira moderna de carregar baterias.Ele usa tensão constante e técnicas de corrente constantes para melhorar o processo de carregamento.O principal objetivo do carregamento híbrido do CVCC é fazer com que as baterias durem mais, carreguem com segurança e trabalhem com eficiência.Este método é útil para carros elétricos, aparelhos de consumo e armazenamento de energia renovável.
O carregamento tradicional usa tensão constante ou corrente constante o tempo todo.Em carregamento de corrente constante (CC), a bateria recebe uma corrente constante até atingir uma certa tensão.Em carregamento de tensão constante (CV), a bateria recebe uma tensão constante enquanto a corrente diminui lentamente à medida que a bateria enche.O carregamento híbrido do CVCC combina essas duas maneiras de corrigir seus problemas e usar seus pontos fortes.
O objetivo do carregamento híbrido do CVCC é três vezes.Primeiro, ele pretende reduzir o tempo de carregamento enquanto preenche a bateria com segurança em sua capacidade máxima.Isso é muito importante para carros elétricos que precisam de carregamento rápido para reduzir o tempo de inatividade.Segundo, ajuda a bateria a durar mais, evitando sobrecarga e superaquecimento, problemas comuns com o carregamento tradicional.Ao controlar cuidadosamente a tensão e a corrente, o carregamento híbrido do CVCC reduz o desgaste nas células da bateria.Por fim, esse método aumenta a eficiência energética, garantindo que a energia entregue à bateria seja otimizada, reduzindo a perda de energia e fazendo melhor uso da energia disponível.

Figura 4: Gráfico do carregamento do CVCC
O método de carregamento de tensão constante/corrente constante (CVCC) do híbrido começa carregando a bateria com uma corrente alta.Durante esta fase, o sistema de carregamento fornece uma corrente consistente e alta à bateria, independentemente de sua tensão.Essa abordagem carrega rapidamente a bateria para um nível de sua capacidade em pouco tempo.A fase de alta corrente é necessária para levar rapidamente a bateria para um estado utilizável.
À medida que a bateria absorve a corrente recebida, sua tensão aumenta.O sistema de carregamento monitora a tensão e a corrente da bateria para garantir que os limites de segurança não sejam excedidos.Esta fase é eficaz para baterias capazes de lidar com entradas de alta corrente sem danos ou calor excessivo.A duração desta fase varia de acordo com o tipo e a capacidade da bateria, mas visa carregar rapidamente a bateria em um nível de tensão predeterminado.
À medida que a tensão da bateria se aproxima do alvo, o sistema de carregamento transita para a segunda fase, onde a corrente reduz.Quando a bateria atinge um limite de tensão específico, o sistema diminui a corrente, mantendo a tensão constante.Isso ajuda a evitar sobrecarga e reduz o estresse nas células da bateria.
A fase de transição requer um equilíbrio entre manter a tensão constante e garantir que as atuais permaneçam dentro de níveis seguros.O sistema usa algoritmos e mecanismos de feedback para monitorar o estado da bateria e ajustar a corrente.O objetivo é aproximar a bateria da capacidade total, minimizando os riscos de sobrecarga.Essa fase ajusta a entrada de energia para garantir a eficiência e a segurança ideais de carregamento.
Na fase final, o sistema de carregamento mantém uma tensão constante, permitindo que a corrente diminua zero.À medida que a bateria se aproxima da carga total, a atual necessidade de manter a tensão constante diminui.Esta fase garante que a bateria seja totalmente carregada sem sobrecarregar ou causar danos.
Manter uma tensão constante nesta fase permite que a bateria conclua seu ciclo de carga com segurança e eficiência.O sistema de carregamento continua monitorando a tensão e a corrente da bateria, fazendo ajustes em tempo real para manter a tensão estável.Quando a corrente atinge um nível mínimo ou zero, o processo de carregamento está concluído e a bateria está totalmente carregada.
Esta fase final maximiza a capacidade de carga e a prontidão da bateria para uso.Ao controlar a tensão e a corrente ao longo do processo, o método Hybrid CVCC fornece uma maneira confiável e eficiente de carregar baterias, aumentando o desempenho e prolongando a vida útil.
O carregamento de energia constante usa uma abordagem dinâmica.Começa com uma corrente alta quando a tensão da bateria é baixa e reduz a corrente à medida que a tensão aumenta.Este método adapta a entrega de energia com base no estado da bateria, maximizando a eficiência do carregamento e reduzindo a tensão da bateria.
O carregamento de energia constante é uma técnica usada principalmente para carregar baterias onde a energia de entrada é mantida constante durante todo o ciclo de carregamento.A potência, definida como a taxa de transferência de energia, é calculada multiplicando a tensão (v) e a corrente (i) (p = v x i).Nesse método, à medida que a tensão da bateria aumenta, a corrente é ajustada para garantir que a energia permaneça constante.Essa abordagem otimiza as fases iniciais quando a bateria pode aceitar taxas de transferência de energia mais altas sem superaquecimento ou estresse.

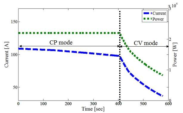
Figura 5: Gráfico da corrente constante vs. carregamento de energia constante
O carregamento constante de energia é diferente dos métodos mais comuns, como corrente constante (CC) e carregamento de tensão constante (CV).Em carregamento de corrente constante, o carregador fornece uma corrente constante à bateria, mesmo quando a tensão muda.Isso funciona bem no começo, mas fica menos eficiente à medida que a bateria fica mais cheia, pode causar muita tensão e enfatizar a bateria.
O carregamento de tensão constante define o carregador a uma tensão fixa, e a corrente diminui à medida que a bateria preenche.Isso ajuda a evitar sobrecarregar e garante que a bateria seja totalmente sem passar pelo limite de tensão.
O carregamento de energia constante tenta combinar os pontos positivos de ambos os métodos.Ele ajusta a corrente e a tensão para manter o nível de potência estável.Isso pode carregar a bateria rapidamente no início, como corrente constante e depois desacelerar à medida que a tensão da bateria aumenta, como a tensão constante.Esse método ajuda a gerenciar o estresse na bateria, tornando-a uma boa escolha para coisas que precisam de carregamento rápido e duração da bateria, como carros elétricos e dispositivos de alta capacidade.
A tensão constante de potência constante (CPCV) combina dois métodos: tensão constante (CV) e potência constante (CP).No modo CV, o carregador mantém a tensão estável para evitar sobrecarregar a bateria, quando está quase cheia.No modo CP, usado no início, o carregador fornece energia a uma taxa constante para carregamento rápido, gerenciando o calor e o estresse da bateria.
Este método começa com energia constante para fornecer rapidamente energia em correntes altas quando a tensão da bateria é baixa.À medida que a bateria se aproxima da carga total, ela muda para o carregamento constante de tensão para refinar o processo e evitar a sobretensão.Essa estratégia é eficaz para cobrar rapidamente baterias até uma capacidade substancial antes de otimizar os estágios finais de carregamento, garantindo eficiência e segurança.
O CPCV funciona com diferentes tipos de baterias, como o íon de lítio, que precisam de carregamento cuidadoso.O sistema alterna entre CP e CV com base no nível de carga da bateria e em outros fatores.

Figura 6: Gráfico da tensão constante de potência constante (CPCV) Carregamento
O carregamento do CPCV (tensão constante de potência constante) é benéfico para as baterias de íons de lítio (íons de lítio) e polímero de lítio (LIPO).Esses tipos de bateria são comuns em dispositivos modernos de alta tecnologia.O carregamento do CPCV começa com uma fase de potência constante, onde a bateria absorve rapidamente muita energia sem atingir os níveis de alta tensão muito cedo.Quando a bateria atingir uma certa tensão, o carregamento muda para uma fase de tensão constante, mantendo a tensão estável para concluir o processo de carregamento com segurança, sem estressar ou superaquecer a bateria.
• Smartphones e tablets: esses gadgets precisam de carregamento rápido e eficiente para melhorar a vida e o desempenho da bateria.
• Laptops: semelhante aos smartphones, os laptops se beneficiam de carregamento rápido, mas seguro, ajuda a manter a saúde da bateria para uso prolongado com energia da bateria.
• Veículos elétricos (VEs): os VEs têm grandes baterias que se beneficiam do carregamento do CPCV.O método carrega rapidamente a bateria em um nível alto antes de mudar para tensão constante para concluir com segurança o processo.
• Ferramentas elétricas: as baterias de alta capacidade em ferramentas elétricas podem ser recarregadas de maneira rápida e segura com o CPCV, reduzindo o tempo de inatividade e garantindo que as ferramentas estejam prontas para uso.
O carregamento de pulso é um método usado para carregar as baterias aplicando rajadas de alta corrente, seguido de períodos de descanso sem corrente ou uma breve descarga.Ao contrário dos métodos tradicionais que usam um fluxo constante de corrente, o carregamento de pulso envolve ciclos de carregamento e repouso.Essa técnica visa replicar processos de carregamento naturais encontrados nos sistemas biológicos, otimizando o equilíbrio entre a entrada de energia e a estabilidade química da bateria.
Esse método pode ser adaptado para diferentes tipos de bateria, como chumbo-ácido, níquel-cádmio (NICD), hidreto de níquel-metal (NIMH) e baterias de íons de lítio.Cada tipo pode exigir configurações exclusivas de pulso, incluindo variações nos períodos de resistência ao pulso, duração e descanso.
O pulso carregando um grande benefício é que ele reduz a formação de dendritos em baterias de íons de lítio.Os dendritos são estruturas em forma de agulha que podem se formar durante o carregamento e causam circuitos curtos, reduzindo a vida e a segurança da bateria.A natureza parada e iniciada do carregamento de pulsos ajuda a controlar como os depósitos de lítio nos eletrodos, diminuindo o risco de se formar dendritos.
O carregamento do pulso pode melhorar o desempenho da bateria e a vida útil, reduzindo a geração de calor durante o carregamento.Isso ajuda a manter a bateria na temperatura certa, preserva sua capacidade e estende sua vida útil.Isso é importante para baterias de alta capacidade em veículos elétricos e dispositivo eletrônico portátil.
O carregamento de pulso também pode acelerar o processo de carregamento sem danificar a bateria.Ele permite uma restauração de energia mais rápida em comparação com a carregamento contínua da corrente e útil para aplicativos que precisam de tempos de recarga rápida, como sistemas de energia de emergência ou durante paradas automotivas curtas.

Figura 7: Carregamento de pulso da bateria de íons de lítio
O carregamento de pulso é um método avançado para carregar baterias que visa melhorar a eficiência e a vida útil de baterias recarregáveis como células de níquel-cádmio (NICD), níquel-metal (NIMH) e íons de lítio (íon li).Diferentemente do carregamento tradicional de corrente direta contínua (CC), o carregamento de pulso fornece carga em rajadas ou pulsos controlados curtos.Este método otimiza o processo de carregamento e aborda problemas comuns da bateria, como superaquecimento e o "efeito da memória" nas baterias NICD.
O carregamento de pulso funciona, aplicando intermitentemente uma corrente mais alta à bateria por um breve período seguido de um período de descanso sem corrente.Esses pulsos reduzem a tensão térmica geral da bateria, permitindo que o calor se dissipe durante os períodos de descanso, minimizando o aumento da temperatura e os possíveis danos.
Os carregadores de pulso usam dois tipos principais de pulsos:
• Pulsos de carga: pulsos de alta corrente que carregam rapidamente a bateria.A amplitude, a duração e a frequência desses pulsos variam dependendo do tipo e condição da bateria.
• Pulsos de descarga: ocasionalmente intercalados com pulsos de carga, eles ajudam a destruir o eletrólito da bateria e reduzir o efeito da memória nas baterias NICD.
O carregador controla a duração dos pulsos de carregamento e os intervalos entre eles usando mecanismos de feedback que monitoram os parâmetros da bateria, como tensão e temperatura.Esse feedback permite que o carregador ajuste o processo de carregamento, aprimorando a aceitação da carga da bateria e a saúde geral.
O carregamento de gotejamento é uma técnica usada para manter as baterias totalmente carregadas, evitando a sobrecarga.Funciona fornecendo um pequeno e consistente fluxo de eletricidade à bateria, correspondendo à sua taxa de autodescança natural.Esse método é útil para dispositivos que não são usados com frequência, garantindo que eles permaneçam carregados e prontos sem prejudicar a saúde da bateria.
Esse processo aplica uma corrente mínima e contínua, ideal para manter a carga de uma bateria por longos períodos.A taxa de carga lenta mantém a bateria saudável e pronta para uso, mesmo quando totalmente carregada.Embora seja benéfico para as baterias de espera, não é recomendado para as baterias NIMH e íon de lítio, pois elas podem ser danificadas por um carregamento prolongado de baixo nível.
O principal objetivo do carregamento de gotejamento é manter uma bateria com carga ideal indefinidamente.O processo de carregamento de gotejamento envolve regulação cuidadosa da corrente elétrica que flui para a bateria.O carregador verifica primeiro a tensão da bateria para decidir quanta corrente fornecer.Se a tensão estiver abaixo do alvo, o carregador fornecerá uma corrente mais alta para recarregá -lo.Quando a tensão alvo é atingida, o carregador muda para uma corrente mais baixa e constante que corresponde à taxa de auto-descarga da bateria.Essa abordagem mantém a bateria totalmente carregada sem o risco de sobrecarga, prolongando sua vida e desempenho.

Figura 8: carregamento da bateria de gotejamento
Baterias de chumbo-ácido: o carregamento de flutuação e pulso são adequados.O carregamento de flutuação é frequentemente preferido para usos estacionários, como sistemas de emergência.
Baterias de níquel-cádmio: essas baterias podem usar o carregamento de pulso e flutuação, benéficos quando a sobrecarga é uma preocupação.
Baterias de íons de lítio: elas não são adequadas para carregar ou flutuar devido à sua sensibilidade à sobrecarga.O carregamento do pulso, com rajadas controladas e circuitos apropriados, é mais adequado para proteger e manter as baterias de íons de lítio.
O carregamento de corrente constante de vários estágios (MCC) é uma técnica avançada para carregar células da bateria, especialmente as baterias de íons de lítio e chumbo-ácido.Este método envolve estágios distintos de carregamento de corrente constante, cada um adaptado a diferentes fases do ciclo de carga da bateria.O principal objetivo da cobrança da MCC é aumentar a saúde e a longevidade da bateria, ajustando a corrente entregue durante vários estágios do processo de carregamento.
No primeiro estágio, uma corrente constante mais alta é aplicada para carregar rapidamente a bateria em uma parte de sua capacidade.Essa fase, conhecida como carregamento em massa, aumenta com eficiência o nível de carga da bateria.
À medida que a bateria atinge certos limites de tensão, o sistema de carregamento muda para os palcos com correntes mais baixas.Esses estágios fornecem controle mais refinado, impedindo a sobrecarga e reduzir a tensão nas células da bateria.Essa modulação cuidadosa ajuda a manter a vida útil e a eficiência da bateria.

Figura 9: Gráfico do carregamento de corrente constante (MCC) de vários estágios (MCC)
|
Aspecto |
Charagem de MCC |
|
Bateria
Saúde |
Minimiza o estresse durante o carregamento |
|
Atual
Ajuste |
Ajusta com base no nível de carga da bateria |
|
Superaquecimento
Prevenção |
Reduz a corrente à medida que a carga aumenta para
evitar superaquecimento |
|
Bateria
Longevidade |
Aprimora a saúde e a longevidade gerais |
|
Temperatura
Gerenciamento |
Mantém a temperatura dentro de faixas ideais |
|
Tensão
Gerenciamento |
Evita o estresse excessivo de tensão |
|
Eficiência |
Cobra rapidamente sem sacrificar
segurança |
|
Capacidade
e estabilidade |
Mantém maior capacidade e estabilidade
sobre a vida útil |
|
Aplicativo
Adequação |
Adequado para várias aplicações
(eletrônica, veículos) |
O carregamento da corrente reduzido, derivado do método de tensão constante, reduz a corrente de carregamento à medida que a tensão da bateria aumenta.Esse método mais simples requer monitoramento cuidadoso para evitar sobrecarga, especialmente em baterias de ácido de chumbo selado, para evitar a degradação ou falha.
À medida que a bateria carrega, sua resistência interna aumenta e pode causar temperaturas mais altas e possíveis danos se a corrente de carregamento alta inicial for mantida a mesma.Reduzindo a corrente, o carregador garante que a bateria fique menos corrente à medida que cobra mais, diminuindo o risco de superaquecimento e estender a vida útil da bateria.
Comparado a outros métodos de carregamento da bateria, o carregamento da corrente de cone é mais simples e muitas vezes mais seguro.É diferente de técnicas mais complexas, como carregamento de pulso ou carregamento de tensão de corrente constante/constante (CC/CV) usada para baterias de íons de lítio.Esses métodos podem carregar as baterias com mais rapidez e eficiência, mas precisam de sistemas mais avançados para controlar o processo de carregamento com segurança.
Também conhecida como carregamento de pulso reflexo ou negativo, o carregamento do burp envolve pulsos de descarga breves durante os repousos de carregamento.O carregamento do burp é um método usado para melhorar a longevidade e a eficiência de baterias à base de níquel, como baterias de níquel-cádmio (NICD) e hidreto de níquel-metal (NIMH).Essa técnica envolve interromper brevemente o processo de carregamento com pulsos de descarga curta.Essas breves descarregas liberam bolhas de gás que se acumulam nas células da bateria durante o carregamento normal.Essa liberação, muitas vezes chamada de "Burping", evita o acúmulo de pressão e reduz o efeito da memória, uma condição que pode diminuir a capacidade e a vida útil de uma bateria se for recarregada repetidamente sem ser totalmente descarregada.

Figura 10: Diagrama de carregamento do arroto
Veja como funciona e por que é benéfico:
Ao carregar, essas baterias podem formar bolhas de gás em seus eletrodos, bloqueando o fluxo de eletricidade.O carregamento do arroto envolve descargas curtas, ou "arrotos", que ajudam a colocar essas bolhas, mantendo a eletricidade fluindo sem problemas.
As breves descargas ajudam a manter o ambiente interno da bateria estável.Reduzindo o acúmulo de gás e a pressão interna, o carregamento do arroto garante uma distribuição mais uniforme da carga dentro da bateria.
O carregamento do BURP reduz o risco de sobrecarga e superaquecimento, problemas comuns com métodos tradicionais de carregamento.Isso torna o processo de carregamento mais rápido e garante a bateria de maneira total e uniforme.
Ao impedir o acúmulo de gás e o superaquecimento, o carregamento do BURP ajuda a manter os componentes internos da bateria.Isso leva a uma vida útil mais longa para a bateria.
O carregamento da IUI é um método moderno para baterias de chumbo-ácido de carregamento rápido de carregamento rápido.Envolve três fases: uma fase de corrente constante inicial até que uma tensão definida seja atingida, uma fase de tensão constante em que a corrente diminui até outro nível predefinido e um retorno final à corrente constante.Essa abordagem garante um carregamento uniforme em todas as células, maximizando o desempenho e a vida útil.
O método de carregamento da IUI é benéfico para as baterias padrão de ácido inundado, pois garante que o carregamento uniforme em todas as células, bom para manter o desempenho ideal e estender a vida útil geral da bateria.O carregamento da IUI controla a corrente e a tensão para evitar sobrecarga ou submarca, reduzindo o risco de falha da bateria.Também reduz o tempo de carregamento, tornando -o eficiente e prático para muitos usos.

Figura 11: Diagrama de carregamento IUI
O carregamento de flutuação é uma técnica usada principalmente com baterias de chumbo-ácido em sistemas de energia de emergência.Este método envolve conectar a bateria e a carga a uma fonte de tensão constante.A tensão é mantida logo abaixo da capacidade máxima da bateria.Esse controle cuidadoso da tensão impede a sobrecarga e garante que a bateria esteja sempre pronta para uso.
Praticamente, o carregamento de flutuação mantém a bateria totalmente pronta sem o risco de sobrecarga.A fonte de tensão constante compensa a autodescança natural da bateria, mantendo sua carga em um nível ideal.Esse método é muito útil para sistemas em que a bateria precisa estar pronta a qualquer momento, como fontes de alimentação ininterrupta (UPS), iluminação de emergência e geradores de espera.
O uso do carregamento do flutuador ajuda a manter a confiabilidade da bateria, certificando -se de fornecer energia quando necessário.Também reduz a necessidade de manutenção e monitoramento frequentes, tornando -o uma maneira prática e eficiente de manter os sistemas de energia de emergência prontos.

Figura 12: Diagrama de carregamento de flutuação
O carregamento aleatório é um método usado quando a fonte de alimentação não é confiável ou muda muito.Isso geralmente acontece em situações como veículos com troca de velocidades do motor ou painéis solares afetados pelo clima.
Nos veículos, as velocidades do motor podem variar muito, causando saídas irregulares de energia que dificultam a carga de uma bateria.Da mesma forma, os painéis solares produzem eletricidade com base na luz solar e podem mudar rapidamente devido a nuvens ou hora do dia.Essas mudanças podem colocar muito estresse nas baterias se não forem tratadas corretamente.
Para lidar com esses problemas, o carregamento aleatório usa técnicas especiais para gerenciar condições de carregamento variáveis.Isso inclui algoritmos avançados e sistemas de carregamento inteligentes que se ajustam em tempo real às alterações da fonte de alimentação.Com o monitoramento contínuo da energia de entrada e a adaptação do processo de carregamento, esses sistemas protegem a bateria dos danos causados pela energia flutuante.
O carregamento aleatório também garante que a bateria funcione bem e dure mais, mesmo com uma fonte de energia inconsistente.Ele evita sobrecarga durante os surtos de energia e garante que haja carregamento suficiente durante as quedas no poder.

Figura 13: Gráfico para o carregamento aleatório
Explorar maneiras diferentes de carregar baterias mostra como é importante melhorar a tecnologia da bateria para atender às crescentes necessidades dos dispositivos e sistemas modernos.Métodos básicos como tensão constante e corrente constante, além de técnicas mais avançadas, como CVCC híbrido e carregamento constante de energia, cada uma tem suas próprias vantagens e é melhor para tipos específicos de baterias e usos.O progresso dos materiais para eletrodos, sistemas de gerenciamento de bateria e o uso da tecnologia inteligente são importantes para fazer com que as baterias funcionem melhor e mais seguras.O futuro do carregamento da bateria depende do desenvolvimento e do uso dessas tecnologias para garantir que sejam sustentáveis, eficientes e confiáveis.
Carregamento lento: este método usa energia padrão CA (corrente alternada) encontrada em ambientes residenciais.Os carregadores operam em níveis mais baixos de potência (até 3 kW), tornando -o adequado para cobrança noturna.
Carregamento rápido: os carregadores rápidos usam níveis mais altos de energia CA (até 22 kW) e são encontrados em estações de carregamento público.Eles podem carregar uma bateria de veículo elétrico (EV) mais rápido que os carregadores lentos, geralmente dentro de poucas horas.
Charagem rápida: estes são os carregadores mais rápidos disponíveis, utilizando a potência DC (corrente direta).Eles podem ligar a maior parte da capacidade da bateria de um EV em menos de uma hora.Os níveis de potência começam em torno de 50 kW e podem subir para 350 kW para os sistemas mais avançados.
Por minuto cobrança: esta estrutura de preços cobra os usuários com base na quantidade de tempo conectada ao carregador, independentemente da quantidade de eletricidade consumida.
Por cobrança de kWh: este é um modelo de preços baseado em uso, onde os usuários são cobrados com base na eletricidade consumida pelo veículo em quilowatt-hora.Este método é considerado mais justo, pois se correlaciona diretamente com a energia usada.
Carregamento de taxa fixa: algumas estações de carregamento oferecem uma taxa fixa para uma janela de carregamento especificada, como uma hora ou um dia, e pode ser benéfica para paradas mais longas.
Modo 1 Carregamento: Esta é a forma mais simples de carregamento de EV, onde o veículo está conectado diretamente a uma saída elétrica doméstica padrão sem nenhum equipamento especial.É lento e usado para veículos menores ou cobrança de casa durante a noite.
Modo 2 Carregamento: Este modo também envolve o carregamento de uma tomada elétrica padrão, mas inclui um cabo com um dispositivo de proteção embutido.Este dispositivo protege contra choques elétricos e outros riscos elétricos em potencial, tornando -o mais seguro que o modo 1 e mais versátil.
Evite carregamento extremo: não carregue rotineiramente a bateria por 100% ou deixe escorrer para 0%.Mantenha a cobrança entre 20% e 80%.
Temperatura de controle: as baterias operam melhor em temperaturas moderadas.Evite expor a bateria a frio extremo ou calor.
Use carregadores recomendados pelo fabricante: sempre use o equipamento de carregamento recomendado pelo fabricante do veículo para evitar danificar a bateria.
Uso e manutenção regulares: uso regular e verificações oportunas de manutenção ajudam a manter a saúde da bateria.Longos períodos de inatividade podem degradar o desempenho da bateria.
Velocidade de carregamento: o carregamento rápido é conveniente, mas pode estressar a bateria.As velocidades de carregamento lentas ou moderadas são preferíveis para uso diário para prolongar a duração da bateria.
Controle de temperatura: carregamento em um ambiente controlado, onde a temperatura é moderada ajuda a preservar a saúde e a eficiência da bateria.
Faixa de carregamento: manter o estado de carga da bateria entre 20% e 80% durante o uso regular pode afetar sua longevidade e desempenho.
Por favor, envie uma consulta, responderemos imediatamente.
em 03/11/2025
em 31/10/2025
em 18/04/8000 147757
em 18/04/2000 111934
em 18/04/1600 111349
em 18/04/0400 83719
em 01/01/1970 79508
em 01/01/1970 66895
em 01/01/1970 63010
em 01/01/1970 62999
em 01/01/1970 54081
em 01/01/1970 52116