
A resistência é o quanto um material tenta impedir que a corrente elétrica flua através dela.Quando a eletricidade se move através de um fio ou outro material, na verdade é composto de pequenas partículas chamadas elétrons.Esses elétrons esbarram em átomos e outras pequenas partes dentro do material.Toda vez que eles esbarram em algo, eles diminuem um pouco.Essa desaceleração torna mais difícil para a eletricidade continuar se movendo.Parte da energia dos elétrons em movimento se transforma em calor.É por isso que os fios podem se aquecer quando a eletricidade flui através deles.O símbolo da resistência é R e é muito importante para garantir que a eletricidade flua com segurança e correção em um circuito.
Alguns materiais têm baixa resistência, o que significa que a eletricidade pode se mover através deles facilmente.Cobre e prata são dois ótimos exemplos.É por isso que os usamos em fios e peças elétricas, elas deixam a eletricidade passar sem muitos problemas.Outros materiais, como borracha ou vidro, têm alta resistência.A eletricidade tem dificuldade em se mover através deles, para que sejam usados para parar de corrente.Estes são chamados de isoladores.Saber se um material tem resistência alta ou baixa ajuda a decidir como criar sistemas elétricos seguros e úteis.
A condutância é o oposto da resistência.Ele nos diz com que facilidade a eletricidade pode fluir através de um material.Se um material tem alta condutância, a eletricidade se move rapidamente e sem muita desaceleração.A condutância é mostrada pela letra G e é uma idéia importante na eletricidade, assim como a resistência.Metais como cobre e alumínio têm alta condutância.Isso significa que seus elétrons podem se mover livremente, o que os torna muito bons em transportar corrente elétrica.Por esse motivo, eles são frequentemente usados em linhas de energia, fios e peças eletrônicas.Também os ajuda a corrigir problemas em circuitos ou planejar novos sistemas.Compreender a facilidade com que a eletricidade se move através de um material ajuda a garantir que as coisas funcionem corretamente e não desperdiçam energia.

Figura 2. Condutância e resistência em circuitos elétricos
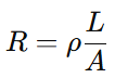
A resistência é uma maneira de medir o quanto um material diminui a corrente elétrica.Existem duas fórmulas principais para encontrar resistência, e cada uma é útil em diferentes situações.

Nesta fórmula, R significa resistência, ρ (a letra grega "Rho") é a resistividade do material, l é o comprimento do fio e a é a espessura ou área de seção transversal do fio.Materiais com maior resistividade diminuem mais a corrente.Além disso, se o fio for mais longo, proporciona mais resistência, porque a corrente precisa viajar mais longe.Um fio mais fino também dificulta a passagem da corrente.Portanto, um fio longo e magro tem mais resistência do que um curto e grosso, feito do mesmo material.Essa fórmula é frequentemente usada ao projetar sistemas elétricos ou escolher o tipo certo de fio.

Essa é outra maneira de calcular a resistência, usando as coisas que você pode medir: tensão (v) e corrente (i).Esta regra é chamada de lei de Ohm.Se você souber quanta tensão está em um dispositivo e quanta corrente está passando por ele, você pode dividir a tensão pela corrente para encontrar a resistência.Isso é muito útil quando você não conhece as propriedades do material, mas pode fazer medições simples com uma ferramenta como um multímetro.Lembre -se de que a resistência pode mudar se a temperatura mudar.Por exemplo, alguns materiais resistem mais à eletricidade quando ficam quentes.
A condutância nos diz o oposto da resistência, mostra a facilidade com que a eletricidade pode fluir através de algo.Quanto maior a condutância, mais fácil o fluxo.

Nesta fórmula, G é condutância e R é resistência.É uma regra simples: se a resistência é alta, a condutância é baixa e se a resistência é baixa, a condutância é alta.A condutância é útil ao trabalhar com circuitos que têm muitos caminhos para a corrente viajar (eles são chamados de circuitos paralelos).Nesses casos, é mais fácil adicionar a condutância de cada parte do que a resistência.Isso torna os problemas de resolução mais rápidos e ajudam ao criar ou corrigir circuitos.
Em um circuito elétrico, os resistores são peças que diminuem o fluxo de eletricidade.Como esses resistores são conectados fazem uma grande diferença na maneira como a eletricidade se move através do circuito.Em um circuito paralelo, os resistores são conectados lado a lado.Isso significa que cada resistor tem seu próprio caminho para a eletricidade viajar.Quando você adiciona mais resistores nesse tipo de circuito, algo interessante acontece: a resistência total fica menor, não maior.Pense nisso como adicionar mais faixas a uma estrada.Com mais faixas, o tráfego pode se mover mais facilmente.Da mesma forma, a adição de mais resistores em paralelo dá à eletricidade mais caminhos a seguir, para que flua mais facilmente e atenda menos resistência.
Podemos encontrar a resistência total em um circuito paralelo usando esta fórmula:

Isso significa apenas: adicione os "inversos" (ou 1 dividido por cada resistor) e, em seguida, tome o inverso disso para obter a resistência total.O resultado é sempre menor que o menor resistor do grupo.Isso é muito útil quando queremos que a eletricidade se mova facilmente, como em sistemas de energia, fiação doméstica ou dispositivos eletrônicos rápidos.Menos resistência significa que menos energia é perdida.

Figura 3. Circuito paralelo com quatro resistores
O diagrama mostra um circuito paralelo com quatro resistores, denominados R1, R2, R3 e R4.Você pode ver que cada resistor está conectado entre os mesmos dois fios, um na parte superior e um na parte inferior.Isso significa que a eletricidade pode passar por qualquer resistor sem precisar passar pelos outros.As linhas laranja onduladas são os resistores e as linhas pretas são os fios que carregam eletricidade.No lado esquerdo da figura, ele nos lembra que a resistência total é menor que qualquer um dos resistores individuais no circuito.Esta é uma das principais idéias de como os circuitos paralelos funcionam.
Nos circuitos elétricos, os resistores podem ser organizados em várias configurações, uma das mais comuns uma conexão em série.Em um circuito em série, os resistores são conectados de ponta a ponta, para que haja apenas um caminho para a corrente fluir.Isso significa que a corrente elétrica que deixa a fonte de energia deve passar por cada resistor sequencialmente antes de retornar à fonte.A resistência total em um circuito em série é calculada adicionando as resistências individuais de todos os resistores no loop.Isso é expresso com a fórmula:

Esse princípio mostra que, à medida que mais resistores são adicionados em série, a resistência geral aumenta.Uma resistência total mais alta resulta em uma corrente mais baixa que flui através do circuito, de acordo com a lei de Ohm (v = IR).Esse comportamento é útil nos circuitos de divisor de tensão que precisam de quedas de tensão específicas em diferentes componentes.

Figura 4. Circuito de resistor em série
O diagrama acima mostra um circuito simples em série que consiste em uma bateria de 9 volts e três resistores marcados R1, R2 e R3.Os resistores não são mostrados individualmente, mas são representados coletivamente entre os pontos 2 e 3, com uma resistência equivalente total de 18 kΩ.A bateria é conectada entre os pontos 1 e 4, com o terminal positivo no ponto 1 e o terminal negativo no ponto 4, estabelecendo a direção do fluxo de corrente no sentido horário através do circuito.
A corrente neste circuito flui do terminal positivo da bateria (ponto 1), através dos resistores conectados em série (do ponto 2 ao ponto 3) e finalmente de volta ao terminal negativo da bateria (ponto 4).Como todos os resistores estão em série, a mesma quantidade de corrente passa por cada resistor.A queda de tensão em toda a rede de resistores é igual à tensão da bateria, que é de 9 V.
Nos circuitos elétricos, a condutância (indicada por g) é uma medida da facilidade com que a eletricidade pode fluir através de um componente.É o recíproco da resistência (G = 1/R), o que significa que uma condutância mais alta implica menor resistência e fluxo de corrente mais fácil.Quando múltiplos elementos condutores (como resistores ou caminhos condutores) são organizados em paralelo, suas condutâncias individuais se acumulam para determinar a condutância total do circuito.Em uma configuração de circuito paralelo, cada caminho permite que a corrente flua independentemente dos outros.À medida que mais ramos são adicionadas, cada uma com sua própria condutância, a capacidade geral do circuito de conduzir a eletricidade aumenta.Isso ocorre porque cada caminho adicional fornece uma rota alternativa para a corrente, reduzindo efetivamente a oposição geral ao fluxo de corrente.
A fórmula para a condutância total em uma configuração paralela é:

Esse relacionamento é linear, o que significa que, se você dobrar o número de ramificações idênticas, você dobrará a condutância total.Isso contrasta com a resistência em paralelo, o que adiciona recíprocos.

Figura 5. Condutância total em um circuito paralelo
O diagrama ilustra visualmente um circuito paralelo contendo quatro galhos condutores marcados G₁, G₂, G₃ e G₄.Cada ramo consiste em um único símbolo do tipo resistor representando a condutância.Esses ramos são dispostos verticalmente, lado a lado, e todos estão conectados na parte superior e inferior a condutores horizontais comuns.Essa estrutura forma um layout paralelo clássico, onde a tensão em cada ramo é a mesma, mas a corrente se divide de acordo com a condutância de cada caminho.À esquerda do diagrama, a equação para a condutância total é mostrada:

As setas do ponto de equação apontam diretamente para os condutores correspondentes, reforçando a idéia de que cada condutância contribui de maneira aditiva para a condutância total.Esse princípio de condutância paralela é importante no projeto de redes elétricas eficientes, particularmente em aplicações que requerem baixa impedância e alta capacidade de corrente.Por exemplo, nos sistemas de processamento de sinal, a manutenção de baixa resistência garante perda mínima de sinal.Nas linhas de transmissão de dados, a condutância aprimorada ajuda a manter a integridade do sinal em longas distâncias.
A condutância nos circuitos em série opera de acordo com o princípio de que a condutância é o recíproco da resistência.Em qualquer circuito elétrico, quando os resistores são conectados em série, suas resistências individuais aumentam, aumentando assim a resistência total do circuito.Como resultado, a condutância total do sistema diminui.Esse relacionamento pode ser expresso matematicamente pela seguinte fórmula:

Nesta fórmula, o Gtotal representa a condutância geral do circuito da série e R1, R2, R3,…, RN são as resistências individuais de cada resistor da série.Como a resistência aumenta quando mais resistores são adicionados em série, o denominador se torna maior, o que, por sua vez, faz com que a condutância total diminua.Essa característica dos circuitos em série os torna úteis em aplicações em que é necessário um bom controle de corrente.Por exemplo, eles são frequentemente empregados em filtros eletrônicos, instrumentos de medição e sistemas de controle de precisão.Ao selecionar cuidadosamente os valores do resistor, você pode manipular quanta corrente pode passar pelo circuito com alta precisão.

Figura 6. Condutância em série
A Figura 6 representa visualmente um circuito elétrico simples no qual três resistores, marcados R1, R2, R3, estão conectados em série.Esses resistores estão alinhados de ponta a ponta em um único loop que é alimentado por uma fonte de tensão, que é mostrada no centro inferior do diagrama com um símbolo de bateria padrão indicando polaridade (terminais positivos e negativos).A resistência total dessa conexão em série é indicada como RT, e a corrente flui no sentido horário através do circuito, conforme indicado pelas setas.
Este diagrama ajuda a ilustrar o conceito de resistência em série e seu efeito na condutância.Cada resistor aumenta a resistência total e, portanto, a condutância total, representada pelo gtotal e calculada como o recíproco dessa soma.A imagem suporta efetivamente a explicação de como a adição de mais resistores em série influencia o fluxo e a condutância de corrente dentro do circuito.
Vários fatores influenciam o quão bem um material resiste ou conduz a corrente elétrica.Estes incluem:
Diferentes materiais têm diferentes propriedades elétricas inerentes.Condutores, como cobre, prata e alumínio, permitem que os elétrons se movam livremente devido à abundância de elétrons livres em sua estrutura atômica.Por outro lado, isoladores como borracha, vidro ou plástico têm elétrons bem ligados que não se movem facilmente, resultando em alta resistência.Os semicondutores se enquadram no meio, com condutividade que pode ser controlada ou modificada.O arranjo atômico e a mobilidade eletrônica de um material determinam amplamente sua condutância ou resistência da linha de base.
À medida que a temperatura aumenta, a resistência da maioria dos materiais condutores (especialmente metais) também aumenta.Isso ocorre porque os átomos dentro do condutor vibram mais vigorosamente a temperaturas mais altas, o que causa colisões mais frequentes com os elétrons em movimento, impedindo seu fluxo.No entanto, em semicondutores e alguns isoladores, temperaturas mais altas podem aumentar a condutância, liberando mais portadores de carga, tornando a relação entre temperatura e resistência dependente do tipo de material.
O tamanho e a forma físicos de um material afetam bastante sua resistência.Um condutor mais longo oferece mais oportunidades para os elétrons colidirem com átomos, aumentando a resistência.Por outro lado, um condutor mais espesso (área transversal mais larga) permite que mais espaço para os elétrons passem simultaneamente, reduzindo a resistência.
As impurezas em um material podem atrapalhar o fluxo de elétrons.Átomos estrangeiros ou defeitos estruturais criam centros de espalhamento que obstruem ou desviam elétrons em movimento, aumentando a resistência.Em metais ou semicondutores altamente purificados, o fluxo de elétrons é muito mais suave, levando a uma melhor condutância.Em aplicações eletrônicas sensíveis, os materiais geralmente são refinados à alta pureza para minimizar a resistência indesejada.
Nos circuitos de corrente alternada (AC), a resistência e a condutância são afetadas não apenas por material e forma, mas também por propriedades eletromagnéticas.A CA de alta frequência pode causar o "efeito da pele", onde a corrente tende a fluir perto da superfície de um condutor, reduzindo efetivamente a área da seção transversal e aumentando a resistência.Os campos magnéticos externos também podem influenciar os caminhos de elétrons através da indução eletromagnética, potencialmente adicionando resistência ou alterando a direção da corrente.Esses efeitos são importantes em sistemas de engenharia elétrica e de alta frequência, como a transmissão de rádio.
Resistência e condutância nos ajudam a entender como a eletricidade se move através de diferentes materiais.A resistência mostra como é difícil o fluxo de eletricidade e a condutância mostra como é fácil.Este guia mostrou maneiras simples de medi -los, explicou quais unidades usamos e deu exemplos de como eles funcionam em diferentes configurações de circuito.Ele também explicou como coisas como material, tamanho e calor podem alterar como a eletricidade flui.Ao saber tudo isso, você pode criar circuitos melhores, corrigir problemas com mais facilidade e escolher as partes certas para o trabalho.Esteja você trabalhando em um projeto escolar ou consertando eletrônicos, saber sobre resistência e condutância torna tudo mais fácil e seguro.
Por favor, envie uma consulta, responderemos imediatamente.
A resistência e um condutor são conectados com a facilidade com que a eletricidade se move.Um condutor é um material que permite que a eletricidade passasse facilmente, o que significa que tem baixa resistência.Portanto, quando algo é um bom condutor, naturalmente resiste a eletricidade menos.Por exemplo, o cobre é um bom condutor porque oferece pouca resistência à corrente.Quanto melhor o condutor, menor sua resistência.
Não, a resistência não é diretamente proporcional a um condutor.De fato, eles estão inversamente relacionados.Se um material é um condutor melhor, ele tem menos resistência.Então, à medida que a condutância sobe, a resistência diminui.É por isso que a condutância é definida como o recíproco da resistência: G = 1 / R. Mais condutância significa fluxo de corrente mais fácil, o que significa menos resistência, não mais.
Não, alta resistência significa baixa condutividade.A condutividade é uma medida da facilidade com que a eletricidade flui através de um material.Se a resistência for alta, a eletricidade tem dificuldade em fluir, portanto, a condutividade é baixa.Eles são opostos.Materiais com alta resistência, como borracha ou vidro, são chamados isoladores porque bloqueiam o fluxo elétrico e têm baixa condutividade.
A condutância é sobre a facilidade com que a eletricidade flui através de um objeto ou peça específica, como um fio ou resistor.Depende do material, tamanho e forma do objeto.A condutividade é sobre a facilidade com que a eletricidade flui através de um material, independentemente do seu tamanho.É uma propriedade do material, como cobre ou borracha.
Sim, a condutância é o recíproco (ou inverso) de resistência.Isso significa que, se você conhece a resistência, poderá encontrar condutância dividindo 1 por esse número: g = 1 / R. Portanto, se um resistor tiver uma resistência de 10 ohms, sua condutância é de 0,1 siemens.Esse relacionamento mostra que, mais fácil é a aprovação atual (alta condutância), menos o material o resiste (baixa resistência) e vice -versa.
em 01/05/2025
em 30/04/2025
em 24/04/8000 147827
em 24/04/2000 116861
em 24/04/1600 111382
em 24/04/0400 85359
em 01/01/1970 82158
em 01/01/1970 67783
em 01/01/1970 64269
em 01/01/1970 63532
em 01/01/1970 54313
em 01/01/1970 52552