
Figura 1: Circuito do capacitor
Em circuitos elétricos, Capacitores Sirva um propósito para armazenar e descarregar carga elétrica.Eles têm duas placas condutivas separadas por um dielétrico isolante.Sua capacidade de manter a cobrança é medida em Farads.

Figura 2: Capacitor
Os capacitores podem ser conectados em série ou paralelos.Em série, mais capacitores reduzem a capacitância geral, útil para alcançar a menor capacitância.Paralelamente, mais capacitores aumentam a capacitância total, ideal para alta capacitância em pequenos espaços, como filtros de fonte de alimentação.O material dielétrico afeta o desempenho de um capacitor, determinando a carga máxima, a tensão de quebra e a resposta da frequência do circuito.Os capacitores avançados usam materiais como eletrólitos de cerâmica, tântalo ou polímero para maior capacitância, estabilidade da temperatura e baixo vazamento.

Figura 3: Capacitor
Aqui está uma explicação simples de suas propriedades e como essas configurações podem ser organizadas para obter a capacitância desejada.

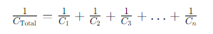
Figura 4: Série de capacitância
Quando você conecta os capacitores em série, a capacitância geral fica menor.Isso acontece porque a carga precisa viajar por mais material, dificultando a armazenamento de cobrança.A capacitância total (1/ctotal) é a soma dos reciprocais de cada capacitor individual (1/c1 + 1/c2 + ... + 1/cn).A capacitância geral é sempre menor que o menor capacitor da série.A fórmula para calcular a capacitância total em série é:

Os projetistas de circuitos devem levar em consideração esse recurso ao escolher capacitores para atender aos requisitos específicos de capacitância.Restrições práticas, como necessidades de espaço e aplicação, podem limitar o número de capacitores em série, e distribuições de tensão variadas podem adicionar complexidade, a menos que os capacitores sejam idênticos.

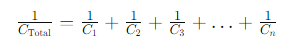
Figura 5: Paralelo de capacitância
Quando os capacitores são conectados em paralelo, a capacitância total aumenta.Isso ocorre porque a área de superfície combinada de todos os capacitores permite que mais carga seja armazenada na mesma tensão.A capacitância total (ctotal) é a soma das capacitâncias de cada capacitor (c1 + C2 + ... + cn).A capacitância geral será maior que o maior capacitor único.A fórmula para calcular a capacitância total em paralelo é:

Embora um número ilimitado de capacitores possa ser conectado em paralelo, limitações práticas, como espaço físico, fins de circuito e restrições de design, geralmente limitam o número.Capacitores de alta qualidade com classificações e tolerâncias apropriadas são boas para o desempenho confiável do circuito.Essa fórmula permite controle preciso sobre os valores de capacitância, permitindo que os designers otimizem o comportamento do circuito, a eficiência energética e o desempenho, tornando -o uma pedra angular de eletrônica e engenharia elétrica.

Figura 6: série e paralelo
Um circuito de capacitores em série apresenta capacitores vinculados sequencialmente ao longo do mesmo caminho, garantindo que cargas ou correntes idênticas percorram através de cada componente.Garante o fluxo de corrente uniforme entre os capacitores, um aspecto fundamental para entender o comportamento de tais circuitos.

Figura 7: Circuito do capacitor em série
Em uma configuração de série, cada capacitor deve lidar com a mesma carga.Quando uma fonte de tensão CC é aplicada, a conexão em série determina que cobra o redistribuição ao longo dos capacitores para manter esse equilíbrio.Por exemplo, se uma fonte de tensão estiver conectada entre os capacitores c1, C2e c3 Com os valores 2F, 4F e 6f, respectivamente, ocorre o seguinte:
• O lado direito de C3 torna -se carregado positivamente devido à atração de elétrons para o terminal positivo da bateria.
• Esse déficit de elétrons em C3A placa direita induz um déficit semelhante em C2A placa certa e sequencialmente o mesmo efeito ocorre no C1.
• Essa reação em cadeia através dos capacitores garante distribuição uniforme de carga.
Exemplo:
Dadas as capacitâncias c1= 2f, c2= 4f, c3= 6f e uma tensão CC de 10V, podemos determinar a distribuição de carga e tensão:


Figura 8: Série de amostra
O cálculo do CTOTal produz aproximadamente 0,92f.
Usando q = c × v, onde q é a carga e v é a tensão:

Assim, cada capacitor detém uma carga de 9,2c.
A tensão em cada capacitor é encontrada usando V = CQ:

A soma das tensões individuais, v1+V2+V3, deve ser igual à tensão da fonte (10V).Aqui, ele calcula aproximadamente 8,43V, indicando um possível erro de arredondamento ou cálculo em nossas estimativas ou suposições iniciais.
Um circuito de capacitor paralelo é uma configuração eletrônica em que os capacitores são conectados lado a lado entre os pontos comuns, permitindo que cada um opere independentemente sob a mesma tensão.Isso é diferente dos circuitos da série, onde os capacitores compartilham uma cobrança.

Figura 9: Circuito de capacitor paralelo
Paralelamente, a tensão em cada capacitor é a mesma.No entanto, a cobrança de cada capacitor varia com base em sua capacitância.Uma capacitância mais alta significa que um capacitor pode armazenar mais cobrança.Por exemplo, se tivermos capacitores de 8 Farads (F) e 4F, o capacitor 8F armazenará mais carga do que o capacitor 4F quando ambos estão com a mesma tensão.
Uma vantagem importante dos capacitores paralelos é o aumento da capacitância geral.Ao contrário dos circuitos da série, onde a capacitância total é menor que qualquer capacitor individual, em paralelo, a capacitância total é a soma de todas as capacitâncias individuais.Isso acontece porque a área da placa aumenta efetivamente sem alterar a distância entre eles, aumentando a capacidade do circuito de armazenar carga.
Exemplo:

Figura 10: Amostra paralela
Considere um circuito com três capacitores conectados em paralelo a uma fonte de energia de 10V DC.Os capacitores têm estas capacitâncias: c1 = 8f, c2 = 4f e C3 = 2f.Cada capacitor experimenta o mesmo 10V, mas armazena diferentes cobranças com base em sua capacitância:
Capacitor c1: Com 8f, ele armazena uma carga de 80 coulombs (c), calculada como q = c × v, que é 8f × 10V = 80c.
Capacitor c2: Com 4f, ele armazena uma carga de 40c, calculada como 4f × 10V = 40c.
Capacitor c3: Com 2f, ele armazena uma carga de 20C, calculada como 2f × 10V = 20c.
A carga total no circuito é a soma de todas as cobranças: qT= Q1+Q2+Q3= 80c+40c+20c = 140c
Esta adição mostra como um circuito de capacitor paralelo aumenta o armazenamento de carga, combinando a capacitância de capacitores individuais.Um circuito de capacitor paralelo aumenta a capacidade total de capacitância e armazenamento de carga, com cada capacitor experimentando a mesma tensão.
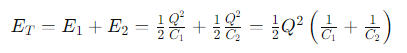
Para entender como a energia é armazenada em capacitores organizados em série ou paralelos, começamos com a fórmula básica para a energia armazenada em um único capacitor:

Aqui, uC é a energia em Joules, Q é a carga em Coulombs e C é a capacitância em Farads.
Para capacitores em série, considere dois capacitores com capacitâncias C1 e C2.A relação entre carga e tensão para cada capacitor é dada por c = vq.Em uma configuração de série, a mesma carga Q está em cada capacitor:

A energia total armazenada no sistema é a soma das energias individuais:

Isso mostra que a capacitância efetiva dos capacitores em série é a soma recíproca das capacitâncias individuais, o que diminui a capacitância total e altera o armazenamento de energia em comparação com configurações simples ou paralelas.
Para capacitores em paralelo, cada capacitor tem a mesma tensão.A energia para cada um pode ser expressa usando a fórmula baseada em tensão:

Se dois capacitores C1 e c2 estão em paralelo e têm a mesma tensão V neles, seu armazenamento total de energia é:

Este cálculo mostra que a capacitância total para capacitores paralelos é a soma das capacitâncias individuais, o que aumenta a energia total armazenada em comparação com as configurações individuais ou em série.
O uso de capacitores em série oferece algumas vantagens, incluindo um aumento da tensão geral de trabalho.Essa configuração também permite um balanceamento de tensão mais eficaz, especialmente quando resistores de alto valor (cerca de 100kΩ ou mais) são colocados em cada capacitor para garantir uma distribuição mais uniforme da tensão.
O uso de capacitores em série vem com desvantagens, incluindo a questão do compartilhamento de tensão desigual.As variações nas correntes de vazamento, particularmente em capacitores eletrolíticos, podem resultar em um capacitor sofrendo de excesso de tensão, o que pode causar danos.Pequenas diferenças nas taxas de fabricação ou envelhecimento também contribuem para as variações na corrente de vazamento, afetando a distribuição de tensão.A corrente de vazamento nos capacitores eletrolíticos tende a aumentar com o tempo, especialmente se não forem usados regularmente.Mesmo com os resistores de equilíbrio, é necessário deixar uma margem na tensão de trabalho, principalmente para capacitores eletrolíticos, para garantir uma operação confiável.
Aumento do armazenamento de energia: conectar capacitores em armazenamento paralelo mais energia do que quando estão em série porque sua capacitância total é a soma de todos os capacitores individuais.
Melhor equilíbrio de tensão: os bancos de capacitores paralelos alcançam melhor saldo de tensão com menos resistores de equilíbrio, reduzindo custos e perdas de energia.
Eficiência de custos: Menos resistores de equilíbrio em conexões paralelas economizam dinheiro e simplificam o sistema.
Limitação de tensão: Em um circuito paralelo, todos os capacitores compartilham a mesma tensão.A tensão máxima é limitada pelo capacitor com menor classificação.Por exemplo, se um capacitor for classificado em 200V e outros em 500V, todo o sistema poderá lidar apenas com 200V.
Riscos de segurança: os capacitores paralelos armazenam e liberam grandes quantidades de energia rapidamente, o que pode ser perigoso se houver um curto -circuito, potencialmente causando danos e lesões graves.
Risco de falha do sistema: em layouts complexos, se um capacitor falhar, os outros devem lidar com toda a tensão, levando a uma falha potencial de todo o sistema.Esse risco é menor nas conexões em série, onde o fracasso de um capacitor não afeta os outros.
Essa visão detalhada dos capacitores nos ajuda a entender suas funções e as considerações importantes para seu uso na eletrônica moderna.As configurações de série aumentam a tensão de trabalho e gerenciam a distribuição de tensão, mas reduzem a capacitância e aumentam a sensibilidade às variações.As configurações paralelas aumentam a capacitância total e o armazenamento de energia, o que é bom para o gerenciamento de energia em pequenos espaços, mas pode ser arriscada se um capacitor falhar.Escolher entre séries e configurações paralelas depende de necessidades específicas de engenharia, de equilíbrio, espaço, custo e desempenho.As idéias teóricas e práticas enfatizam a seleção cuidadosa do capacitor e o design do circuito para garantir sistemas elétricos confiáveis e eficientes.
Os capacitores da série são usados principalmente para reduzir a impedância de um circuito em frequências mais altas, o que melhora a transmissão de energia em longas distâncias e aumenta a regulação da tensão.Quando os capacitores são conectados em série, a capacitância total diminui.Essa configuração força a mesma cobrança a passar por todos os capacitores, resultando em uma divisão da tensão total em cada capacitor de acordo com seu valor de capacitância.Essa característica é particularmente útil em aplicações como acoplamento e filtragem de sinal, onde o objetivo é bloquear a corrente direta (DC), permitindo que a corrente alternada (AC) passe.
Os capacitores da série são utilizados quando há necessidade de ajustar a impedância de um circuito, particularmente em aplicações de alta frequência.Eles também são empregados para alcançar a divisão de tensão em um circuito.Nos sistemas de energia, os capacitores em série são usados para aumentar a capacidade das linhas de transmissão de energia, compensando a reatância indutiva em linhas de transmissão longas, permitindo que mais corrente flua nas mesmas condições de tensão.
Dois capacitores estão em série se estiverem conectados de ponta a ponta, com o terminal positivo de um conectado ao terminal negativo do outro, e há apenas dois pontos de conexão envolvendo outros componentes do circuito.Esse arranjo garante que a corrente de carga e descarga que flui através deles seja a mesma.A capacitância total também pode ser calculada para confirmar isso;Para os capacitores da série, o recíproco da capacitância total é a soma dos recíprocos das capacitâncias individuais.
Quando os capacitores são conectados em paralelo, a capacitância total do circuito aumenta.Essa configuração permite que cada capacitor mantenha a mesma tensão, levando a um acúmulo de capacidade de carga nos capacitores.Os capacitores paralelos são frequentemente usados para estabilizar a tensão e armazenar mais carga em sistemas onde é necessária uma capacitância mais alta sem aumentar a classificação de tensão de capacitores individuais.
A própria configuração não aumenta a tensão de alimentação original;No entanto, a distribuição de tensão dentro do circuito varia.Em uma configuração de série, a tensão é dividida entre os capacitores, dependendo de suas capacitâncias individuais.Por outro lado, em uma configuração paralela, a tensão em cada capacitor permanece a mesma que a tensão de alimentação.
Sim, em um circuito paralelo, a tensão em cada capacitor é a mesma e igual à tensão total fornecida ao circuito.Essa distribuição uniforme da tensão torna os capacitores paralelos ideais para aplicações que precisam de tensão consistente em vários componentes.
Por favor, envie uma consulta, responderemos imediatamente.
em 11/06/2024
em 11/06/2024
em 18/04/8000 147757
em 18/04/2000 111931
em 18/04/1600 111349
em 18/04/0400 83718
em 01/01/1970 79508
em 01/01/1970 66880
em 01/01/1970 63010
em 01/01/1970 62971
em 01/01/1970 54081
em 01/01/1970 52106